重庆2025年高职分类考试高职专科批招生录取信息表
重庆2025年高职分类考试高职专科批招生录取信息表发布时间:2025/4/14 11:00:43 | 人感兴趣 | 评分:3
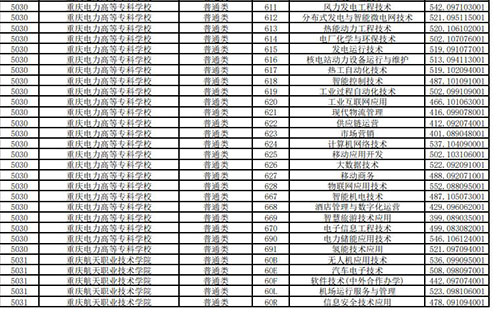
据重庆招考网公布关于2025年度普通高职分类考试(高职专科批批)招生信息已公布,具体如下:
(点击可查看大图)








推荐课程
推荐阅读排行
- 教育部发布关于2026年普通高校招生工作的通知
- 水利工程质量检测员资格考试实施办法全文
- 时间定了!今年高考全国统考将于6月7日、8日举行
- 自考英语和学位英语有何区别?别弄混了!
- 四川2026年高职单招志愿填报与录取时间安排
- 重庆2026年上半年高等教育自学考试报名时间及须知
- 重庆2026年普通高等学校招生艺术类各科类校考资格分数线公布
- 重庆市2026年普通高校专升本免试招生工作实施方案公布
- 2026年重庆普通高校专升本统一考试招生工作实施公布
- 关于2026年度全国会计专业初级资格考试行政区调整及人员报考相关通知
- 四川2026年舞蹈类、表演类、播音与主持类、书法类等艺术类专业统考合格线公布
- 教育部关于印发《全国学前儿童学籍管理办法(试行)》的通知




